Stucture search
Multiple search
Support CAS No. batch search elements: line a CAS number
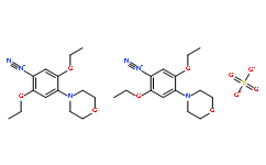
2,5-Diethoxy-4-(4-morpholinyl)benzenediazonium sulfate
Catalog No.:
RW063597
CAS NO.:
32178-39-5
Molecular formula:
2
[C
14
H
20
N
3
O
3
+]
.
O
4
S-
2
Molecular weight:
652.7164
Inquiry >>
Product introduction
MSDS
COA
NMR
Product Name:2,5-Diethoxy-4-(4-morpholinyl)benzenediazonium sulfate
Synonyms:
Molecular Formula:2[C14H20N3O3+].O4S-2
Molecular Weight:652.7164
MSDS search:
COA search:
Inquiry
Product name
Company Name
Contact person
Contact phone
Email
Remarks
Verification code
Fill in the verification code