Stucture search
Multiple search
Support CAS No. batch search elements: line a CAS number
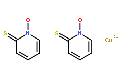
Copper omadine
Catalog No.:
RW0163946
CAS NO.:
14915-37-8
Molecular formula:
2
(C
5
H
4
NOs)
.
Cu
Molecular weight:
315.86
Inquiry >>
Product introduction
MSDS
COA
NMR
Product Name:Copper omadine
Synonyms:bis(1-hydroxy-1h-pyridine-2-thionato-o,s)copper; Omadine Copper; Copper pyrithione; Cuppic Omadine; CuPT; Cuppic pyrithione
Molecular Formula:2(C5H4NOS).CU
Molecular Weight:315.86
MSDS search:
COA search:
Inquiry
Product name
Company Name
Contact person
Contact phone
Email
Remarks
Verification code
Fill in the verification code